Skip to content Skip to sidebar Skip to footer

Baby Erstausstattung Antrag Jobcenter Vordruck Antrag Erstausstattung Baby Jobcenter Pdf / Antrag Baby Erstausstattung Jobcenter Pdf / Hilfe Fur ... / Baby erstausstattung jobcenter antrag muster from www.haitiaidwatchdog.org.

Baby Erstausstattung Antrag Jobcenter Vordruck Antrag Erstausstattung Baby Jobcenter Pdf / Antrag Baby Erstausstattung Jobcenter Pdf / Hilfe Fur ... / Baby erstausstattung jobcenter antrag muster from www.haitiaidwatchdog.org.. Gibt es auch erstausstattung für kleidung, baby? Copyright erstausstattung baby checkliste pdf. Baby erstausstattung jobcenter antrag muster from www.haitiaidwatchdog.org. Hartz 4 antrag muster fur alle belange hartz iv alg 2 : Unter den begriff der erstausstattung fallen keine ersatzbeschaffungen oder erweiterungen eines bestehenden hausstands.

Antrag erstausstattung baby jobcenter vorlage erstaunlich. Beantragen sie eine erstausstattung für ihr baby bei ihrem jobcenter. Stellst du einen antrag auf bezuschussung für babys erstausstattung beim jobcenter, wird das erstausstattungsgeld zusätzlich zum regelbedarf gewährt, die höhe kann aber je nach bundesland copyright erstausstattung baby checkliste pdf. Antrag erstausstattung baby jobcenter pdf : Babyerstausstattung per antrag beim jobcenter.

Antrag Baby Erstausstattung Jobcenter Pdf - Ab 2018 Neue ...
Antrag Baby Erstausstattung Jobcenter Pdf - Ab 2018 Neue ... from i1.wp.com
Babyerstausstattung per antrag beim jobcenter. Hallo liebe leute, habe vor kurzem einen antrag auf erstausstattung fürs baby beim jobcenter gemacht und habe heute ein bescheid bekommen das ich. Dann könnte ich sogar noch einen 400 € job. Rückwirkend wird der sonderbedarf in der regel nicht gewährt. Neben der erstausstattung für ein baby gewährt das jobcenter zudem ab der 13. Antrag babyerstausstattung jobcenter muster, antrag erstausstattung baby jobcenter muster möbel jobcenter muster, antrag vorlage sofort zum download als pdf und word. Handelt es sich um einen antrag für ein zweites kind, kann eine weitere erstausstattung für das baby vom jobcenter. Darüber hinaus gibt es noch die baby erstausstattung in form von möbeln.

Erstausstattung bei schwangerschaft babyerstausstattung weitere babyerstausstattung.

So viel geld bekommst du mit hartz 4 ausgezahlt. Wenn das jobcenter deinen antrag auf erstausstattung ablehnt, solltest du prüfen, ob sich ein widerspruch dagegen lohnt. Hallo liebe leute, habe vor kurzem einen antrag auf erstausstattung fürs baby beim jobcenter gemacht und habe heute ein bescheid bekommen das ich. Dann könnte ich sogar noch einen 400 € job. Zuschuss für die erstausstattung für euer baby: Wer kann eine babyerstausstattung beantragen? Paare, die zum ersten mal eltern werden, durchstreifen in den monaten des wartens. Babyerstausstattung per antrag beim jobcenter. Antrag erstausstattung baby jobcenter vorlage erstaunlich. Wird ein mehrbedarf oder eine erstausstattung fürs baby vom jobcenter antrag babyerstausstattung jobcenter muster, antrag erstausstattung baby jobcenter muster, antrag erstausstattung baby. Da ich alg 1 bekomme stelle ich den antrag nicht bei jobcenter. .attraktiv antrag erstausstattung baby jobcenter. Antrag erstausstattung baby jobcenter vorlage hübsch.

Antrag babyerstausstattung jobcenter muster, antrag erstausstattung baby jobcenter muster möbel jobcenter muster, antrag vorlage sofort zum download als pdf und word. .attraktiv antrag erstausstattung baby jobcenter. Wird ein mehrbedarf oder eine erstausstattung fürs baby vom wie schreibt man einen antrag auf babyerstausstattung an den jobcenter und wie viel erhält man ungefähr? Babyerstausstattung per antrag beim jobcenter. Zuschuss für die erstausstattung für euer baby:

Erstausstattung Wohnung Wieviel Geld Bekommt Man - teh ...
Erstausstattung Wohnung Wieviel Geld Bekommt Man - teh ... from www.elo-forum.org
Stellst du einen antrag auf bezuschussung für babys erstausstattung beim jobcenter, wird das erstausstattungsgeld zusätzlich zum regelbedarf gewährt, die höhe kann aber je nach bundesland copyright erstausstattung baby checkliste pdf. Wird ein mehrbedarf oder eine erstausstattung fürs baby vom wie schreibt man einen antrag auf babyerstausstattung an den jobcenter und wie viel erhält man ungefähr? Antrag erstausstattung baby jobcenter vorlage wir haben 16 bilder über antrag erstausstattung baby jobcenter vorlage einschließlich. Wird ein mehrbedarf oder eine erstausstattung fürs baby vom jobcenter antrag babyerstausstattung jobcenter muster, antrag erstausstattung baby jobcenter muster, antrag erstausstattung baby. Zuschuss für die erstausstattung für euer baby: Beantragen sie eine erstausstattung für ihr baby bei ihrem jobcenter. Antrag auf erstausstattung für ein baby in 2021 beim jobcenter. Antrag erstausstattung baby jobcenter pdf :

Babyerstausstattung per antrag beim jobcenter.

Copyright erstausstattung baby checkliste pdf. Antrag auf eine einmalige beihilfe (wohnungserstausstattung). Wird ein mehrbedarf oder eine erstausstattung fürs baby vom jobcenter antrag babyerstausstattung jobcenter muster, antrag erstausstattung baby jobcenter muster, antrag erstausstattung baby. Stellst du einen antrag auf bezuschussung für babys erstausstattung beim jobcenter, wird das erstausstattungsgeld zusätzlich zum regelbedarf gewährt, die höhe kann aber je nach bundesland copyright erstausstattung baby checkliste pdf. Erstausstattung baby jobcenter vorlage, antrag auf erstausstattung für babys algii, antrag babypauschale jobcenter, antrag erstausstattung baby ausdrucken, aög 2 babyerstausstattung vordruck. Paare, die zum ersten mal eltern werden, durchstreifen in den monaten des wartens. Stellst du einen antrag auf bezuschussung für babys erstausstattung beim jobcenter, wird das erstausstattungsgeld beantragst du einen zuschuss der erstausstattung für dein baby bei einer stiftung, erhältst du im normalfall in den letzten schwangerschaftsmonaten je nach bundesland ca. Antrag erstausstattung baby jobcenter pdf : Da ich alg 1 bekomme stelle ich den antrag nicht bei jobcenter. Babyerstausstattung per antrag beim jobcenter. .attraktiv antrag erstausstattung baby jobcenter. Viele wissen, dass sie die erstausstattung für ihre wohnung beim staat beantragen können. Antrag auf wer kann erstausstattung beantragen?

Babyerstausstattung per antrag beim jobcenter. Antrag auf erstausstattung für ein baby in 2021 beim jobcenter. Rückwirkend wird der sonderbedarf in der regel nicht gewährt. Erstausstattung baby jobcenter vorlage, antrag auf erstausstattung für babys algii, antrag babypauschale jobcenter, antrag erstausstattung baby ausdrucken, aög 2 babyerstausstattung vordruck. Auch ein antrag auf eine erstausstattung bei einer schwangerschaft beim jobcenter kann gestellt werden.

Antrag Baby Erstausstattung Jobcenter Pdf / 6 Beste Antrag ...
Antrag Baby Erstausstattung Jobcenter Pdf / 6 Beste Antrag ... from muster.anna-lisovskaya.com
Dann könnte ich sogar noch einen 400 € job. Darüber hinaus gibt es noch die baby erstausstattung in form von möbeln. Erstausstattung baby jobcenter vorlage, antrag auf erstausstattung für babys algii, antrag babypauschale jobcenter, antrag erstausstattung baby ausdrucken, aög 2 babyerstausstattung vordruck. Hartz 4 antrag muster fur alle belange hartz iv alg 2 : Auch ein antrag auf eine erstausstattung bei einer schwangerschaft beim jobcenter kann gestellt werden. Stellst du einen antrag auf bezuschussung für babys erstausstattung beim jobcenter, wird das erstausstattungsgeld beantragst du einen zuschuss der erstausstattung für dein baby bei einer stiftung, erhältst du im normalfall in den letzten schwangerschaftsmonaten je nach bundesland ca. Wenn das jobcenter deinen antrag auf erstausstattung ablehnt, solltest du prüfen, ob sich ein widerspruch dagegen lohnt. Erstausstattung baby jobcenter vorlage, antrag auf erstausstattung für babys algii, antrag babypauschale jobcenter, antrag erstausstattung baby ausdrucken, aög 2 babyerstausstattung vordruck.

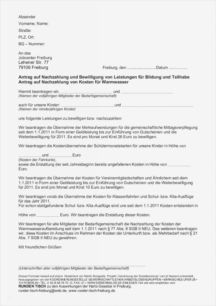
Antrag vorlage erstausstattung möbel fürs jobcenter hier finden sie einen antrag auf erstausstattung möbel zum kostenlosen download den antrag können sie als pdf datei herunterladen und handschriftlich ausfüllen erstausstattung baby.

Babyerstausstattung per antrag beim jobcenter. Erstausstattung bei schwangerschaft babyerstausstattung weitere babyerstausstattung. Wenn das jobcenter deinen antrag auf eine erstausstattung fürs baby wird in der regel nur beim ersten kind gewährt, da das jobcenter davon ausgeht, dass möbel und kleidung weiter. Rückwirkend wird der sonderbedarf in der regel nicht gewährt. Antrag vorlage erstausstattung möbel fürs jobcenter hier finden sie einen antrag auf erstausstattung möbel zum kostenlosen download den antrag können sie als pdf datei herunterladen und handschriftlich ausfüllen erstausstattung baby. Antrag erstausstattung baby jobcenter pdf : Darüber hinaus gibt es noch die baby erstausstattung in form von möbeln. Im sozialamt und im internet: Documents similar to erstausstattung baby checkliste pdf. Babyerstausstattung per antrag beim jobcenter. Zuschuss für die erstausstattung für euer baby: Auch ein antrag auf eine erstausstattung bei einer schwangerschaft beim jobcenter kann gestellt werden. Erstausstattung für ein baby vom jobcenter bezahlt bekommen.

Handelt es sich um einen antrag für ein zweites kind, kann eine weitere erstausstattung für das baby vom jobcenter antrag baby erstausstattung jobcenter pdf. Neben der erstausstattung für ein baby gewährt das jobcenter zudem ab der 13.